リチウムイオン電池のグラファイト負極の膨化
本事例では、リチウムイオン電池の負極材料であるグラファイトとLiC6の構造変化と物性変化を、第一原理計算SIESTAを用いて解析した。Liイオンの挿入によりc軸方向に7.5%、体積で10%の膨張が確認され、弾性率は全体的に低下。フェルミ準位の変化により金属的性質が強まることが示された。
解析・利用例のポイント
- Li挿入による構造変化
- 状態密度の比較
Li挿入による体積膨張
グラファイトとLiC6の構造モデルを比較し、Li挿入によってc軸方向に7.5%、ab面方向に2.3%の膨張が生じることが確認された。
グラファイトとLiC6の構造比較
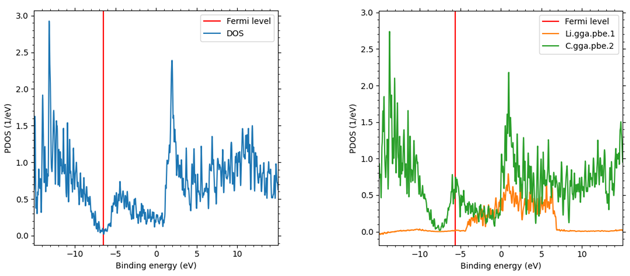
状態密度の比較
グラファイトとLiC6の部分状態密度を比較し、LiC6ではフェルミ準位が押し上げられ、金属的性質が強まっていることが分かる。
フェルミ準位と状態密度
解析内容の詳細
