LDA+U法による半導体バンドギャップの補正事例
本事例では、Si、GaAs、GaN、4H-SiCの4種類の半導体に対して、LDA+U法を用いてバンドギャップの補正を行った。密度汎関数法(DFT)では過小評価されがちなバンドギャップを、Uパラメータの調整により実測値に近づけることができる。各半導体の価電子帯形成には電気陰性度の高い元素のp軌道が寄与している。
解析・利用例のポイント
- LDA+U法によるギャップ補正
- ギャップ補正の効果
- SiとGaAsの比較
元素ごとのp軌道分布
化合物半導体における各元素のp軌道の部分状態密度を示し、電気陰性度の高い元素が価電子帯を形成していることが分かる。

元素ごとのp軌道分布
ギャップ補正の効果
LDA+U法の有無によるバンド構造の違いを示し、Uパラメータの調整により実測値に近いバンドギャップが得られることを確認できる。

ギャップ近傍のバンド構造
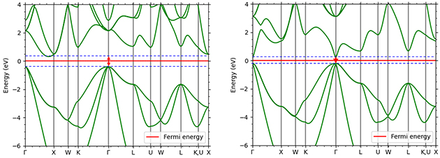
SiとGaAsの比較
GGA法によるSi(左)とGaAs(右)のバンドギャップ計算結果を示し、補正なしでは実測値よりも小さなギャップとなることが分かる。

GGA法によるバンド計算結果
解析内容の詳細