FMO-DPDによる脂質膜とベシクル形成
FCEWSと散逸粒子動力学(DPD)を用いて、リン脂質POPCのベシクル形成のシミュレーションを実施しました。FCEWSは立教大学・望月研究室が開発している手法で、脂質分子をセグメント化し、相互作用パラメータ(χパラメータ)を高精度に予測します。その後、DPD法により脂質の分率を変化させ、脂質二重膜やベシクルの形成を再現。膜面積や膜厚は実験値とよく一致し、ドラッグデリバリーシステム(DDS)の設計への応用も期待されます。
解析・利用例のポイント
- FCEWSを用いてχパラメータを予測し、リン脂質のメソスケール解析を実施
- 脂質膜の構造形成過程を解析
FCEWSを用いてχパラメータを予測し、リン脂質のメソスケール解析を実施
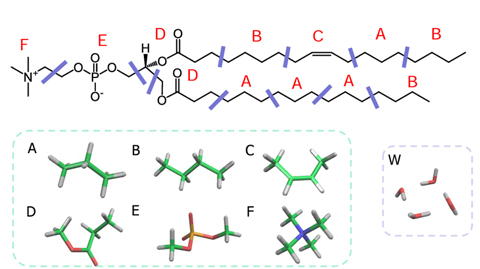
脂質分子をセグメントに分割し、セグメント間のχパラメータ(相互作用パラメータ)を、FMO(フラグメント分子軌道法)を用いることで高精度な予測が可能なFCEWSで推算します。水分子は4つで1つのDPD粒子としています。

POPC分子のセグメント分割
脂質膜の構造形成過程を解析
DPDを用いてシミュレーションされた脂質膜の形成過程を示しています。脂質分子が自己集合し、二重膜構造やベシクル構造を形成する様子が再現されており、膜厚や構造安定性の評価が可能です。

DPDによる脂質膜の形成過程
参考文献
- Chem.Phys.Lett., 684, pp427-432, (2017)
- https://www.cenav.org/fcews_ver1_rev2/
解析内容の詳細