エポキシ樹脂架橋反応のシミュレーションからのガラス転移温度評価
J-OCTAの反応モデラーを用いて、ビスフェノールA型エポキシ樹脂とエチレンジアミン硬化剤の架橋反応の分子動力学計算を実施しました。架橋密度を変化させたモデルに対してガラス転移温度(Tg)を評価した結果、架橋密度の増加に伴いTgが上昇する傾向を確認し、材料設計へのシミュレーション活用の有用性を示しました。
解析・利用例のポイント
- 熱硬化性樹脂(エポキシ)の架橋構造と物性の関係の評価
- 複雑な3次元構造のモデリング
- 熱硬化性樹脂の特性を評価
熱硬化性樹脂(エポキシ)の架橋構造と物性の関係の評価
J-OCTAを用いてビスフェノールA型エポキシ樹脂とエチレンジアミン硬化剤の分子モデルを構築した様子が示されています。左がエポキシ、右が硬化剤で、反応モデラーによる準備段階です。
modeling of molecules by using J-OCTA (left=EP, right=ethylenediamine)
複雑な3次元構造のモデリング
J-OCTAの反応モデラーを用いたエポキシ樹脂の架橋反応シミュレーションの様子が示されています。反応の進行に伴う構造変化が視覚的に確認できます。
Simulation of crosslinking reaction
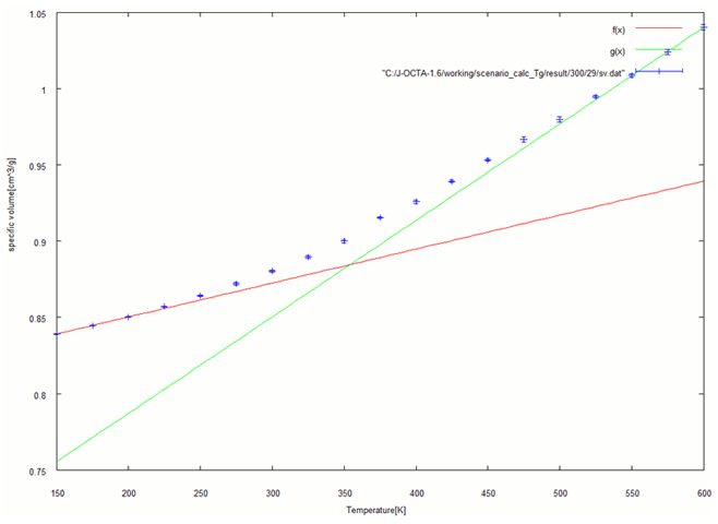
熱硬化性樹脂の特性を評価
架橋密度29%の条件における温度ごとの比容積変化が示されています。ガラス転移温度(Tg)の評価に用いられ、Tgは温度-比容積曲線の屈曲点から求められます。
Specific volume at each temperature(29%)

