ポリマーの誘電緩和
ポリマー材料の誘電緩和特性を分子動力学(MD)計算により評価する事例です。具体的には、cisポリブタジエンの双極子モーメントの自己相関関数を解析し、KWW式でフィッティングすることで緩和時間を算出しました。さらに、その緩和時間を温度依存性とともに評価し、誘電緩和スペクトルをフーリエ変換により導出しました。これにより、材料の周波数応答特性を理論的に予測することが可能です。
解析・利用例のポイント
- ポリマーのMD計算から誘電緩和を評価
- ポリマーの緩和挙動から誘電応答を解析
- 複素誘電率の評価が可能
ポリマーのMD計算から誘電緩和を評価
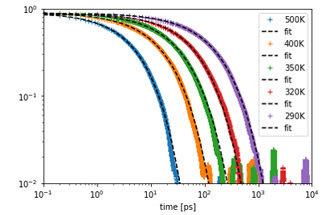
cisポリブタジエンの各温度における双極子モーメントの自己相関関数Φと、それに対するKWW式によるフィッティング結果を示しています。自己相関関数は分子の緩和挙動を反映しており、温度が下がるにつれて緩和が遅くなる様子が確認できます。KWW式によるフィッティングにより、緩和時間の定量的な評価が可能になります。

各温度での自己相関関数ΦとKWW式でフィッティングした結果
ポリマーの緩和挙動から誘電応答を解析
KWW式のフィッティングから算出された緩和時間τを、温度の逆数に対してプロットしたグラフです。このプロットにより、緩和時間が温度に対して指数関数的に変化することが示され、ガラス転移挙動の理解に役立ちます。また、先行文献のデータとの比較も行われています。

KWW式によるフィッティングで得られた緩和時間τ[ps]を温度の逆数に対してプロットしたもの
複素誘電率の評価が可能
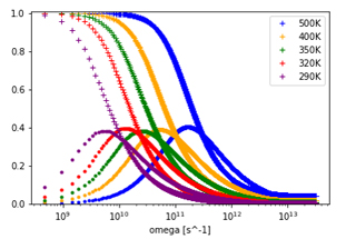
KWW式で得られた自己相関関数をフーリエ変換して得られた誘電緩和スペクトルの実部と虚部を示しています。このスペクトルは、材料の周波数応答特性を表しており、誘電損失や誘電率の周波数依存性を評価するために用いられます。実験との比較により、モデルの妥当性も確認できます。

誘電緩和スペクトルの実部(+)と虚部(●)
参考文献
- G. D. Smith, O. Borodin, and W. Paul, J. Chem. Phys., 117, 10350 (2002).
解析内容の詳細